Khoảng cách giữa 2 mặt phẳng trong không gian – Toán Thầy Định

Khoảng cách giữa 2 mặt phẳng trong không gian được xác định như thế nào và được tính như thế nào, công thức ra sao ?. Tất cả các vấn đề trên sẽ được giải quyết trong bài viết này.

ĐỊNH NGHĨA KHOẢNG CÁCH GIỮA 2 MẶT PHẲNG

Trước hết, tất cả chúng ta cần biết rằng trong khoảng trống hai mặt phẳng có 3 vị trí tương đối. Đó là hai mặt phẳng trùng nhau, hai mặt phẳng song song và hai mặt phẳng cắt nhau. Trong hai trường hợp mặt phẳng cắt nhau và trùng nhau ta hoàn toàn có thể coi khoảng cách giữa chúng bằng 0. Người ta cũng không hỏi khoảng cách giữa hai mặt phẳng trong trường hợp này. Vì vậy tất cả chúng ta chỉ xét khoảng cách giữa hai mặt phẳng song song mà thôi .

Định nghĩa:

Trước hết, ta nhắc lại định nghĩa khoảng cách từ một điểm M lên mặt phẳng (P) là khoảng cách giữa M và hình chiếu của nó trên mặt phẳng (P). Ký hiệu là d(M,(P)).

Cho hai mặt phẳng ( P ) và ( Q. ) song song với nhau. Khoảng cách giữa mặt phẳng ( P ) và ( Q. ) là khoảng cách từ một điểm M bất kể trên mặt phẳng ( P ) đến mặt phẳng ( Q. ) hoặc ngược lại. Ký hiệu là d ( ( P ), ( Q. ) ) .

Khoảng cách giữa 2 mặt phẳng

Bộ đề thi Online các dạng có giải chi tiết: Khoảng cách giữa 2 mặt phẳng

CÔNG THỨC TÍNH KHOẢNG CÁCH GIỮA HAI MẶT PHẲNG

Cho hai mặt phẳng ( P ), ( Q. ) song song trong khoảng trống. Phương trình của chúng đều hoàn toàn có thể đưa về dạng :
( P ) : ax + by + cz + d = 0 và ( Q. ) : ax + by + cz + d ’ = 0 ( a² + b² + c² > 0 và d ≠ d ’ )

Khi đó giả sử M(α;β;γ) thuộc mặt phẳng (P) ta có: aα+bβ+cγ=-d. Khoảng cách giữa (P) và (Q) chính là khoảng cách giữa M và (Q). Do đó:

công thức tính khoảng cách giữa 2 mặt phẳng

Vậy công thức tính khoảng cách giữa hai mặt phẳng song song là:

cách tính khoảng cách giữa 2 mặt phẳng

Vì vậy cách tính khoảng cách giữa hai mặt phẳng là ta biến hóa hai phương trình sao cho x, y, z có cùng thông số sau đó mới vận dụng công thức ( dòng màu xanh ) bên trên .

VÍ DỤ TÍNH KHOẢNG CÁCH GIỮA 2 MẶT PHẲNG

Ví dụ:

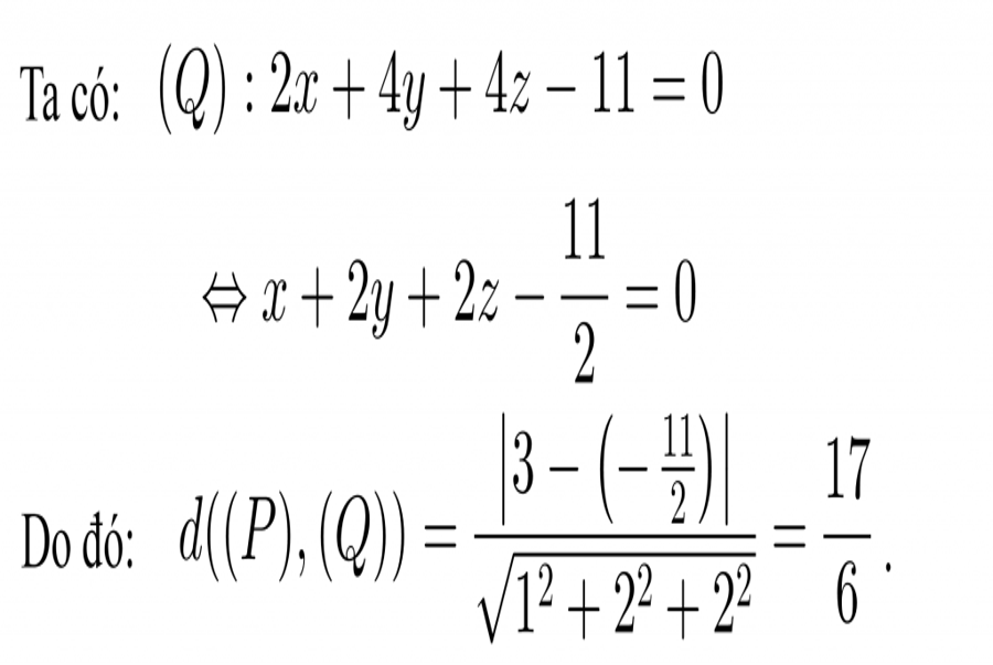
Tính khoảng cách giữa hai mặt phẳng ( P ) : x + 2 y + 2 z + 3 = 0 và ( Q. ) : 2 x + 4 y + 4 z – 11 = 0 .

Lời giải:

Bộ đề thi Online các dạng có giải chi tiết: Khoảng cách giữa 2 mặt phẳng

Ta còn chẳng cần phải tìm hình chiếu. Thật dễ dàng phải không nào :)). Chúc các em thành công!

Xem thêm:

Phương trình mặt cầu và các dạng bài tập

Phương pháp tọa độ trong không gian

Khoảng cách từ điểm đến mặt phẳng trong không gian

Khoảng cách giữa đường thẳng và mặt phẳng hình Oxyz

Công thức tính khoảng cách giữa 2 điểm

Khoảng cách giữa 2 đường thẳng trong oxyz

Vị trí tương đối của 2 đường thẳng trong không gian

Công thức tính góc giữa 2 mặt phẳng

Khoảng cách từ điểm đến đường thẳng trong oxyz

Phương Pháp Tọa Độ Oxyz –

Leave a comment

Email của bạn sẽ không được hiển thị công khai. Các trường bắt buộc được đánh dấu *