chỉ cần nhớ công thức định luật phóng xạ và thành thạo logarit và hàm số mũ bạn đọc giải các dạng bài tập này nhanh nhất.
XÁC ĐỊNH CÁC ĐẠI LƯỢNG CƠ BẢN CỦA ĐỊNH LUẬT PHÓNG XẠ
1) LÝ THUYẾT TRỌNG TÂM
Bạn đang đọc: Xác định các đại lượng cơ bản của định luật phóng xạ
Số hạt nhân, khối lượng còn lại ở thời gian t :

Từ đó, tỉ lệ số hạt nhân, khối lượng còn lại là

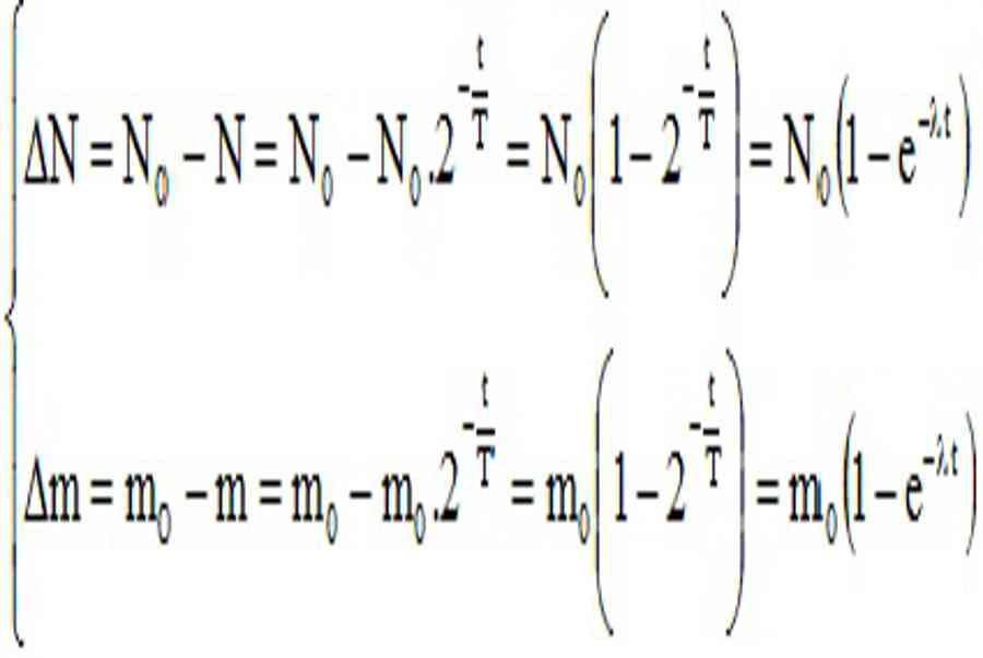
Số hạt nhân, khối lượng đã bị phân rã ở thời gian t :

Từ đó, tỉ lệ số hạt nhânm khối lượng đã bị phân rã là

Độ phóng xạ : \ ( \ left \ { \ begin { matrix } H = \ lambda N = \ lambda N_ { 0 }. 2 ^ { \ frac { – t } { T } } \ rightarrow H = H_ { 0 }. e ^ { – \ lambda t } \ \ H_ { 0 } = \ lambda N_ { 0 } \ end { matrix } \ right. \ )Chú ý :- Trong công thức tính độ phóng xạ thì \ ( \ lambda = \ frac { ln2 } { T } \ ) phải đổi chu kỳ luân hồi T ra đơn vị chức năng giây .- Đơn vị khác của độ phóng xạ : 1C i = 3,7. 1010 ( Bq ) .
2) Ví dụ điển hình
Ví dụ 1. Một chất phóng xạ có hằng số phóng xạ λ. Sau một khoảng thời gian bằng 1/λ tỉ lệ số hạt nhân của chất phóng xạ bị phân rã so với số hạt nhân ban của chất phóng xạ ban đầu xấp xỉ bằng
A. 37%. C. 6,32%. C. 0,37%. D. 6,32%.
Hướng dẫn giải :Theo bài ta có tỉ lệ \ ( \ frac { \ Delta N } { N_ { 0 } } = \ frac { N_ { 0 } – N } { N_ { 0 } } = \ frac { N_ { 0 } ( 1 – e ^ { – \ lambda t } ) } { N_ { 0 } } = 1 – e ^ { – \ lambda t } = 1 – \ frac { 1 } { e } \ approx 0,632 = \ ) 6,32 % .Vậy chọn đáp án B .
Ví dụ 2. Gọi Δt là khoảng thời gian để số hạt nhân của một lượng chất phóng xạ giảm đi e lần (e là cơ số của loga tự nhiên với lne = 1), T là chu kỳ bán rã của chất phóng xạ. Hỏi sau khoảng thời gian 0,51Δt chất phóng xạ còn lại bao nhiêu phần trăm lượng ban đầu?
A. 40%. B. 50%. C. 60%. D. 70%.
Hướng dẫn giải :Theo bài, sau Δt thì số hạt nhân giảm e lần, tức là \ ( \ frac { N_ { 0 } } { N } = e \ Leftrightarrow e ^ { \ lambda \ Delta t } = e \ rightarrow \ lambda \ Delta t = 1 \ )Tỉ lệ số hạt nhân còn lại so với khởi đầu là \ ( \ frac { N_ { 0 } } { N } = \ frac { N_ { 0 } e ^ { – \ lambda \ Delta t } } { N_ { 0 } } = e ^ { – \ lambda \ Delta t } = e ^ { – 0,51 \ lambda \ Delta t } = e ^ { – 0,51 } \ approx 0,6 = \ ) 60 % .
Vậy chọn đáp án C .
Ví dụ 3. Ban đầu có 5 (g) 222Rn là chất phóng xạ với chu kì bán rã T = 3,8 ngày. Hãy tính
a) số nguyên tử có trong 5 (g) Radon.
b) số nguyên tử còn lại sau thời gian 9,5 ngày.
c) độ phóng xạ của lượng Radon nói trên lúc đầu và sau thời gian trên.
Hướng dẫn giải :
a) Ta có số mol của Rn là \(n=\frac{m}{M}=\frac{5}{222}\)
Khi đó số nguyên tử bắt đầu của Rn là No = n. NA. 6,02. 1023 = 1,356. 1022 ( nguyên tử )
b) Số nguyên tử còn lại sau 9,5 ngày tính bởi:
\ ( N ( t ) = N_ { 0 }. e ^ { – \ lambda t } = 1,356. 10 ^ { 22 }. e ^ { \ frac { – ln2 } { 3,8 }. 9,5 } = 2,39. 10 ^ { 21 } \ ) ( nguyên tử )
c) Để tính độ phóng xạ ta cần đổi chu kỳ T ra đơn vị giây. 1 ngày = 24.60.60 (giây).
Độ phóng xạ lúc đầu của Rn : \ ( H_ { 0 } = \ lambda N_ { 0 } = \ frac { ln2 } { T } N_ { 0 } = \ frac { 0,693. 1,356. 10 ^ { 22 } } { 3.8.24. 60.60 } = 2,86. 10 ^ { 16 } ( Bq ) \ )Độ phóng xạ sau 9,5 ngày của Rn : \ ( H = \ lambda N = \ frac { ln2 } { T } N = \ frac { 0,693. 2,39. 10 ^ { 21 } } { 3.8.24. 60.60 } = 5,04. 10 ^ { 15 } ( Bq ) \ )
Ví dụ 4. Chất phóng xạ 25Na có chu kì bán rã T = 62 (s).
a) Tính độ phóng xạ của 0,248 (mg) Na.
b) Tính độ phóng xạ sau 10 phút.
c) Sau bao lâu chất phóng xạ chỉ còn 1/5 độ phóng xạ ban đầu?
Hướng dẫn giải :
a) Số nguyên tử Na ban đầu có trong 0,248 (mg) Na là No = n.NA \(\frac{0,248.10^{-3}}{23}\).6,02.1023=6,49.1018
Độ phóng xạ tương : \ ( H_ { 0 } = \ lambda N_ { 0 } = \ frac { ln2 } { T } N_ { 0 } = \ frac { 0,693. 6,49. 10 ^ { 18 } } { 62 } = 7,254. 10 ^ { 16 } ( Bq ) \ )
b) Số nguyển tử Na còn lại sau 10 phút là\(N(t)=N_{0}e^{-\lambda t}=6,49.10^{18}.e^{\frac{-ln2}{62}.10.60}=7,94.10^{15}\) (nguyên tử)
Độ phóng xạ \ ( H = \ lambda N = \ frac { ln2 } { T }. N = \ frac { 0,693. 7,94. 10 ^ { 15 } } { 10.60 } = 9,17. 10 ^ { 12 } ( Bq ) \ )
c) Theo bài ta có \(\frac{H}{H_{0}}=\frac{1}{5}\Leftrightarrow \frac{\lambda N}{\lambda N_{0}}=\frac{1}{5}\Leftrightarrow N=\frac{N_{0}}{5}=N_{0}.e^{-\lambda t}\rightarrow e^{\lambda t}=5\Leftrightarrow \lambda t=ln5\)
Từ đó ta tìm \ ( \ frac { ln2 } { T }. t = ln5 \ rightarrow t = \ frac { ln5 } { ln2 } T = 143,96 ( s ) \ )
Ví dụ 5. (Khối A – 2009).
Lấy chu kì bán rã của pôlôni \ ( _ { 84 } ^ { 210 } \ textrm { Po } \ ) là 138 ngày và NA = 6,02. 1023 mol-1. Độ phóng xạ của 42 mg pôlôni là
A. 7.1012 Bq B. 7.109 Bq C. 7.1014 Bq D. 7.1010 Bq.
Ví dụ 6. (Khối A, CĐ – 2009). Ban đầu (t = 0) có một mẫu chất phóng xạ X nguyên chất. Ở thời điểm t1 mẫu chất phóng xạ X còn lại 20% hạt nhân chưa bị phân rã. Đến thời điểm t2 = t1 + 100 (s) số hạt nhân X chưa bị phân rã chỉ còn 5% so với số hạt nhân ban đầu. Chu kì bán rã của chất phóng xạ đó là
A. 50 s. B. 25 s. C. 400 s. D. 200 s.
Ví dụ 7. (Khối A – 2008). Hạt nhân \(_{Z_{1}}^{A_{1}}\textrm{X}\) phóng xạ và biến thành một hạt nhân \(_{Z_{2}}^{A_{2}}\textrm{Y}\) bền. Coi khối lượng của hạt nhân X, Y bằng số khối của chúng tính theo đơn vị u. Biết chất phóng xạ \(_{Z_{1}}^{A_{1}}\textrm{X}\) có chu kì bán rã là T. Ban đầu có một khối lượng chất \(_{Z_{1}}^{A_{1}}\textrm{X}\), sau 2 chu kì bán rã thì tỉ số giữa khối lượng của chất Y và khối lượng của chất X là
A. \(4\frac{A_{1}}{A_{2}}\). B. \(4\frac{A_{2}}{A_{1}}\). C. \(3\frac{A_{2}}{A_{1}}\). D. \(3\frac{A_{1}}{A_{2}}\)
Ví dụ 8. Hai chất phóng xạ có số nguyên tử bằng nhau, sau thời gian t = 2TA thì tỉ số các hạt nhân A và B còn lại là
A. 1/4. B. 1/2. C. 2. D. 4.
Ví dụ 9. Chu kỳ bán rã của hai chất phóng xạ A và B lần lượt là 20 phút và 40 phút. Ban đầu, hai chất phóng xạ có số hạt nhân bằng nhau, sau 80 phút thì tỉ số các hạt nhân A và B bị phân rã là
A. 4/5. B. 5/4. C. 4 D. 1/4.
Ví dụ 10. Ở thời điểm t1 một chất phóng xạ có độ phóng xạ là H1 = 105 Bq. Ở thời điểm t2 độ phóng xạ của chất đó là H2 = 8.104 Bq. Chu kỳ bán rã của chất đó là 6,93 ngày. Số hạt nhân của chất đó phân rã trong khoảng thời gian t2 – t1 là
A. 1,378.1012 hạt. B. 1,728.1010 hạt. C. 1,332.1010 hạt. D. 1,728.1012 hạt.
Ví dụ 11. Tại thời điểm ban đầu người ta có 1,2 g \(_{86}^{222}\textrm{Rn}\). Radon là chất phóng xạ có chu kì bán rã T. Sau khoảng thời gian t = 4,8T số nguyên tử \(_{86}^{222}\textrm{Rn}\) còn lại là
A. N = 1,874.1018. B. N = 2.1020. C. N = 1,23.1021. D. N = 2,465.1020.
Ví dụ 12. Một nguồn phóng xạ \(_{86}^{226}\textrm{Ra}\) có khối lượng ban đầu m0 = 32 g phóng xạ hạt α. Sau khoảng thời gian 4 chu kỳ phân rã thì thể tích khí Hêli thu được ở điều kiện chuẩn là bao nhiêu ?
A. 0,2 lít B. 2 lít C. 3 lít D. 0,3 lít
Ví dụ 13. Pôlôni (Po210) là chất phóng xạ α có chu kì bán rã T = 138 ngày. Một mẫu Pôlôni nguyên chất có khối lượng ban đầu là 0,01 g. Độ phóng xạ của mẫu chất trên sau 3 chu kì bán rã là bao nhiêu?
A. 16,32.1010 Bq B. 18,49.109 Bq C. 20,84.1010 Bq D. Đáp án khác.
Ví dụ 14. Ban đầu có 5 g radon \(_{86}^{222}\textrm{Rn}\) là chất phóng xạ với chu kì bán rã T = 3,8 ngày. Độ phóng xạ của lượng radon nói trên sau thời gian 9,5 ngày là
A. 1,22.105 Ci B. 1,36.105 Ci C. 1,84.105 Ci D. Đáp án khác.
Ví dụ 15. Chất phóng xạ cô ban \(_{27}^{60}\textrm{Co}\) dùng trong y tế có chu kì bán rã T = 5,33 năm và khối lượng nguyên tử là 58,9u. Ban đầu có 500 g chất \(_{27}^{60}\textrm{Co}\).
a) Tìm khối lượng chất phóng xạ còn lại sau 12 năm.
b) Sau bao nhiêu năm thì khối lượng chất phóng xạ còn lại 100 g.
c) Tính độ phóng xạ ban đầu của lượng phóng xạ trên theo đơn vị becơren Bq.
d) Tính độ phóng xạ của lượng chất phóng xạ nói trên sau 10 năm theo đơn vị curi Ci.
e) Đồng vị phóng xạ đồng \(_{29}^{66}\textrm{Cu}\) có thời gian bán rã T = 4,3 phút. Sau thời gian t = 12,9 phút, độ phóng xạ của đồng vị này giảm xuống bao nhiêu % ?
Ví dụ 16. Một chất phóng xạ có chu kì bán ra T. Sau thời gian t = 3T kể từ thời điển ban đầu, tỉ số giữa số hạt nhân bị phân rã thành hạt nhân của nguyên tố khác với số hạt nhân của chất phóng xạ còn lại
A. 7 B. 3 C. 1/3 D. 1/7
HD Giải : Thời gian phân rã t = 3T; Số hạt nhân còn lại:
\ ( N = \ frac { N_ { 0 } } { 2 ^ { 3 } } = \ frac { 1 } { 8 } \ rightarrow \ Delta N = N_ { 0 } – N = \ frac { 7 } { 8 } \ rightarrow \ frac { \ Delta N } { N } = 7 \ )
Ví dụ 17. Đồng vị phóng xạ Côban \(_{27}^{60}\textrm{Co}\) phát ra tia ─ và với chu kỳ bán rã T = 71,3 ngày. Trong 365 ngày, phần trăm chất Côban này bị phân rã bằng
A. 97,12% B. 80,09% C. 31,17% D. 65,94%
HD Giải: % lượng chất bị phân rã sau 365 ngày :
\ ( \ Delta m = m_ { 0 } – m = m_ { 0 } ( 1 – e ^ { – \ lambda t } ) \ Leftrightarrow \ frac { \ Delta m } { m_ { 0 } } = 1 – e \ frac { – 365. ln2 } { 71,3 } = 0,9712 \ )
Hoặc \(\Delta m=m_{0}-m=m_{0}(1-2^{-\frac{t}{T}})\Leftrightarrow \frac{\Delta m}{m_{0}}=\frac{1-2^{-\frac{t}{T}}}{2^{-\frac{t}{T}}}=0,9712\) Chọn A.
II.CÁC DẠNG BÀI TẬP VỀ PHÓNG XẠ
Câu 1. Hạt nhân \(_{90}^{227}\textrm{Th}\) là phóng xạ α có chu kì bán rã là 18,3 ngày. Hằng số phóng xạ của hạt nhân là
A. 4,38.10-7 s–1 B. 0,038 s–1 C. 26,4 s–1 D. 0,0016 s–1
Câu 2. Ban đầu có 20 (g) chất phóng xạ X có chu kì bán rã T. Khối lượng của chất X còn lại sau khoảng thời gian 3T, kể từ thời điểm ban đầu bằng
A. 3,2 (g). B. 1,5 (g). C. 4,5 (g). D. 2,5 (g).
Câu 3. Một chất phóng xạ có T = 8 năm, khối lượng ban đầu 1 kg. Sau 4 năm lượng chất phóng xạ còn lại là
A. 0,7 kg. B. 0,75 kg. C. 0,8 kg. D. 0,65 kg.
Câu 4. Giả sử sau 3 giờ phóng xạ, số hạt nhân của một đồng vị phóng xạ còn lại bằng 25% số hạt nhân ban đầu thì chu kì bán rã của đồng vị đó bằng
A. 2 giờ. B. 1 giờ. C. 1,5 giờ. D. 0,5 giờ.
Câu 5. Chất phóng xạ I-ôt có chu kì bán rã là 8 ngày. Lúc đầu có 200 (g) chất này. Sau 24 ngày, lượng Iốt bị phóng xạ đã biến thành chất khác là
A. 150 (g). B. 175 (g). C. 50 (g). D. 25 (g).
Câu 6. Sau một năm, lượng một chất phóng xạ giảm đi 3 lần. Hỏi sau 2 năm lượng chất phóng xạ ấy còn bao nhiêu so với ban đầu ?
A. 1/3. B. 1/6. C. 1/9. D. 1/16.
Câu 7. Ban đầu có 1 kg chất phóng xạ Coban \(_{27}^{60}\textrm{Co}\) có chu kỳ bán rã T = 5,33 năm. Sau bao lâu lượng Coban còn lại 10 (g) ?
A. t ≈ 35 năm. B. t ≈ 33 năm. C. t ≈ 53,3 năm. D. t ≈ 34 năm.
Câu 8. Đồng vị phóng xạ cô ban 60Co phát tia β− và tia γ với chu kì bán rã T = 71,3 ngày. Hãy tính xem trong một tháng (30 ngày) lượng chất cô ban này bị phân rã bao nhiêu phần trăm?
A. 20% B. 25,3 % C. 31,5% D. 42,1%
Câu 9. Ban đầu có N0 hạt nhân của một chất phóng xạ. Giả sử sau 4 giờ, tính từ lúc ban đầu, có 75% số hạt nhân N0 bị phân rã. Chu kì bán rã của chất đó là
A. 8 giờ. B. 4 giờ. C. 2 giờ D. 3 giờ.
Câu 10. Đồng vị \(_{27}^{60}\textrm{Co}\) là chất phóng xạ β– với chu kỳ bán rã T = 5,33 năm, ban đầu một lượng Co có khối
lượng m0. Sau một năm lượng Co trên bị phân rã bao nhiêu Xác Suất ?
A. 12,2% B. 27,8% C. 30,2% D. 42,7%.
Câu 11. 24 Na là chất phóng xạ β− với chu kỳ bán rã 15 giờ. Ban đầu có một lượng \(_{11}^{24}\textrm{Na}\) thì sau một khoảng thời gian bao nhiêu lượng chất phóng xạ trên bị phân rã 75%?
A. 7 giờ 30 phút. B. 15 giờ. C. 22 giờ 30 phút. D. 30 giờ.
Câu 12. Chu kì bán rã của chất phóng xạ 90 Sr là 20 năm. Sau 80 năm có bao nhiêu phần trăm chất phóng xạ đó phân rã thành chất khác ?
A. 6,25%. B. 12,5%. C. 87,5%. D. 93,75%.
Câu 13. Sau khoảng thời gian 1 ngày đêm 87,5% khối lượng ban đầu của một chất phóng xạ bị phân rã thành chất khác. Chu kì bán rã của chất phóng xạ đó là
A. 12 giờ. B. 8 giờ. C. 6 giờ. D. 4 giờ.
Câu 14. Coban phóng xạ 60Co có chu kì bán rã 5,7 năm. Để khối lượng chất phóng xạ giãm đi e lần so với khối lượng ban đầu thì cần khoảng thời gian
A. 8,55 năm. B. 8,23 năm. C. 9 năm. D. 8 năm.
Câu 15. Một chất phóng xạ có hằng số phóng xạ λ. Sau một khoảng thời gian bằng 1/λ tỉ lệ số hạt nhân của chất phóng xạ bị phân rã so với số hạt nhân chất phóng xạ ban đầu xấp xỉ bằng
A. 37%. B. 63,2%. C. 0,37%. D. 6,32%.
Câu 16. Gọi Δt là khoảng thời gian để số hạt nhân của một lượng chất phóng xạ giảm đi e lần (e là cơ số của loga tự nhiên với lne = 1), T là chu kỳ bán rã của chất phóng xạ. Hỏi sau khoảng thời gian 0,51Δt chất phóng xạ còn lại bao nhiêu phần trăm lượng ban đầu?
A. 40%. B. 50%. C. 60%. D. 70%.
Câu 17. Chất phóng xạ \(_{11}^{24}\textrm{Na}\) chu kì bán rã 15 giờ. So với khối lượng Na ban đầu, phần trăm khối lượng chất này bị phân rã trong vòng 5 giờ đầu tiên bằng
A. 70,7%. B. 29,3%. C. 79,4%. D. 20,6%
Câu 18. Chất phóng xạ 210 Po phát ra tia α và biến đổi thành \(_{82}^{206}\textrm{Pb}\). Chu kỳ bán rã của Po là 138 ngày. Ban đầu có 100 (g) Po thì sau bao lâu lượng Po chỉ còn 1 (g)?
A. 916,85 ngày B. 834,45 ngày C. 653,28 ngày D. 548,69 ngày.
Câu 19. Một chất phóng xạ sau 10 ngày đêm giảm đi 3/4 khối lượng ban đầu. Chu kì bán rã là
A. 20 ngày. B. 5 ngày. C. 24 ngày. D. 15 ngày.
Câu 20. Côban (60Co) phóng xạ β− với chu kỳ bán rã T = 5,27 năm. Thời gian cần thiết để 75% khối lượng của một khối chất phóng xạ 60Co bị phân rã là
A. 42,16 năm. B. 21,08 năm. C. 5,27 năm. D. 10,54 năm.
Câu 21. Chất phóng xạ \(_{53}^{131}\textrm{I}\) dùng trong y tế có chu kì bán rã là 8 ngày đêm. Nếu có 100 (g) chất này thì sau 8 tuần lễ khối lượng còn lại là
A. 1,78 (g). B. 0,78 (g). C. 14,3 (g). D. 12,5 (g).
Câu 22. Ban đầu có 2 (g) Radon \(_{86}^{222}\textrm{Rn}\) là chất phóng xạ có chu kì bán rã là 3,8 ngày. Hỏi sau 19 ngày, lượng Radon đã bị phân rã là bao nhiêu gam ?
A. 1,9375 (g). B. 0,4 (g). C. 1,6 (g). D. 0,0625 (g).
Câu 23. Hạt nhân Poloni 210 Po là chất phóng xạ có chu kì bán rã 138 ngày. Khối lượng ban đầu là 10 (g). Cho NA = 6,023.1023 mol–1. Số nguyên tử còn lại sau 207 ngày là
A. 1,01.1023 nguyên tử. B. 1,01.1022 nguyên tử.
C. 2,05.1022 nguyên tử. D. 3,02.1022 nguyên tử.
ĐÁP ÁN TRẮC NGHIỆM
|
01. A |
02. D |
03. A |
04. C |
05. B |
06. C |
07. A |
08. B |
09. C |
10. A |
|
11. D |
12. D |
13. B |
14. B |
15. B |
16. C |
17. D |
18. A |
19. B |
20. D |
|
21. B |
22. A |
23. B |
24. B |
25. B |
26. A |
27. C |
28. B |
29. C |
30. A |
|
31. A |
32. A |
33. B |
34. B |
35. B |
36. A |
37. B |
38. D |
39. D |
Tất cả nội dung bài viết. Các em hãy xem thêm và tải file chi tiết dưới đây:
Luyện Bài tập trắc nghiệm môn Vật lý lớp 12 – Xem ngay
Source: https://taimienphi.club
Category: Chưa phân loại